Страницы:
1
...
10
11
12
13
14
15
16
17
Иван, Россия, Москва, 50 лет
Иван, Москва, 50 лет.
 
E-Not, Россия, Москва писал:
Мы не рассматриваем парусность в этой задаче. Не усложняйте.
Без учёта парусности все предметы падают на землю с одинаковой скоростью g=9,8м/с*2
Анна, Россия, Псков, 44 года
Анна, Псков, 44 года.
В отношениях
 
E-Not, Россия, Москва писал:
С трактора не упадите, ок?))
Хахаха
Просто заглянула)
Вот так поворот
Сообщение отредактировала Анна, Россия, Псков (автор поста) 02.07.2025 20:08
Иван, Россия, Москва, 50 лет
Иван, Москва, 50 лет.
 
Анна, Россия, Псков писала:
Считаю, Изергиль с этой задачей справится
sarcastic_rt_50.gif good2_rt_68.gif
E-Not, Россия, Москва, 45 лет
E-Not, Москва, 45 лет.
 
Иван, Россия, Москва писал:
Без учёта парусности все предметы падают на землю с одинаковой скоростью g=9,8м/с*2
Мы учитываем силу сопротивления среды. Парусность - это ветровая нагрузка. Вы путаете термины.
Иван, Россия, Москва, 50 лет
Иван, Москва, 50 лет.
 
Анна, Россия, Псков писала:
Хахаха Просто заглянула) Вот так поворот
Енот для себя потихоньку делает открытия с помощью форума
Анна, Россия, Псков, 44 года
Анна, Псков, 44 года.
В отношениях
 
Иван, Россия, Москва писал:
Енот для себя потихоньку делает открытия с помощью форума
Мы учитываем сопротивление среды, у нас все гораздо серьезнее
E-Not, Россия, Москва, 45 лет
E-Not, Москва, 45 лет.
 
Анна, Россия, Псков писала:
Хахаха Просто заглянула) Вот так поворот
Ха-ха!

1. Вы пренебрегли силой сопротивления воздуха. Тогда задача решается просто. Но у нас надо учесть силу сопротивления.

2. Вы использовали GPT, а это уже означает, что задачу решаете не вы, а ИИ.

rofl_rt_56.gif
E-Not, Россия, Москва, 45 лет
E-Not, Москва, 45 лет.
 
Иван, Россия, Москва писал:
Енот для себя потихоньку делает открытия с помощью форума
У вас ответы примитивные какие-то и шутки плоские. Уж извините за прямоту.
Иван, Россия, Москва, 50 лет
Иван, Москва, 50 лет.
 
E-Not, Россия, Москва писал:
Мы учитываем силу сопротивления среды. Парусность - это ветровая нагрузка. Вы путаете термины.
wacko_rt_40.gif bye_rt_52.gif
Сергей, Россия, Киров, 51 год
Сергей, Киров, 51 год.
 
E-Not, Россия, Москва писал:
А вообще, напиши уже уравнение движения и все поймешь.
Вот напиши ка правда уравнение про которое ты так трындишь. Про коробок.
А мы глянем. Поржом.
Анна, Россия, Псков, 44 года
Анна, Псков, 44 года.
В отношениях
 
E-Not, Россия, Москва писал:
Ха-ха! 1. Вы пренебрегли силой сопротивления воздуха. Тогда задача решается просто. Но у нас надо учесть силу сопротивления. 2. Вы использовали GPT, а это уже означает, что задачу решаете не вы, а ИИ.
Конечно пренебрегла)
Формулы не помню, не работаю с ними
В данном случае какая формула учитывает условия задачи?
E-Not, Россия, Москва, 45 лет
E-Not, Москва, 45 лет.
 
Анна, Россия, Псков писала:
Мы учитываем сопротивление среды, у нас все гораздо серьезнее
Не сильно серьезнее, просто надо самим попытаться понять хотя бы.

Формула элементарная в итоге. Подсказку я давал.

В общем, дерзайте!))
Сергей, Россия, Киров, 51 год
Сергей, Киров, 51 год.
 
E-Not, Россия, Москва писал:
Ты вообще не понимаешь, о чем речь? Еще раз объясняю: напиши уравнение движения в безвоздушной среде, а затем уравнение движения в среде с воздухом. И сравни их. Ну что тут сложного?
Напиши нам сам и не мучайся
E-Not, Россия, Москва, 45 лет
E-Not, Москва, 45 лет.
 
Сергей, Россия, Киров писал:
Вот напиши ка правда уравнение про которое ты так трындишь. Про коробок. А мы глянем. Поржом.
А ты прежде чем тут цепляться ко всем, прикрываясь своей рукастостью, попробуй сам понять условия задачи. А если хочешь поржать, но начни с формулы Ньютона, затем перейди на формулу Эйнштейна. Если поймешь их суть, конечно.
E-Not, Россия, Москва, 45 лет
E-Not, Москва, 45 лет.
 
Юлия, Россия, Москва писала:
Енот в женщинах знает толк, так скажем 🤣 , а Иван и Ильнур собутыльники 🤣
Эти дружбаны вообще куда-то слились))))
Сергей, Россия, Киров, 51 год
Сергей, Киров, 51 год.
 
E-Not, Россия, Москва писал:
А если хочешь поржать, но начни с формулы Ньютона, затем перейди на формулу Эйнштейна. Если поймешь их суть, конечно.
А закончи Марией Кюри sarcastic_rt_50.gif
Напиши свою эту формулу. Мы ждём.
Юлия, Россия, Москва, 51 год
Юлия, Москва, 51 год.
 
E-Not, Россия, Москва писал:
Эти дружбаны вообще куда-то слились))))
Пошли спички на пузырь менять.
Сергей, Россия, Киров, 51 год
Сергей, Киров, 51 год.
 
Для E-Not, Россия, Москва:

Ты так уверен в своей правоте то почему боишься на эксперимент совместный?
Соберёмся командой гдепаповской.
Ты будешь внизу.
Кто то будет отпускать одновременно два коробка спичечных с балкона.
Ты при свидетелях будешь говорить в каком коробке спичек больше хотябы на одну.
И всё! Делов то! dntknw_rt_60.gif
Всем докажешь. Мне шелбанов наставишь, коньяк заберёшь. Можешь и не пить его.
Мы все хором скажем какой ты умный.
Максим, Россия, Анапа, 44 года
Максим, Анапа, 44 года.
 
E-Not, Россия, Москва писал:
Желтый и Ильнур сидят на балконе и громко обсуждают, кому из низ них должна достаться одна прекрасная дама. Пробегающий в это время по улице за пивом Енот, услышав такие разговоры, моментально искривляет траекторию и поднимается к своим дружбанам. Он быстро убеждает их, что женщина им не нужна и ее нужно уступить Еноту. В качестве компенсации он оставляет им по коробку спичек. А чтобы спор между дружками не угасал, ставит им задачу: определить, в каком из коробков спичек больше, не применяя ник
В воду бросить
Анна, Россия, Псков, 44 года
Анна, Псков, 44 года.
В отношениях
 
E-Not, Россия, Москва писал:
Не сильно серьезнее, просто надо самим попытаться понять хотя бы. Формула элементарная в итоге. Подсказку я давал. В общем, дерзайте!))
Двадцать лет прошло, хотя когда-то мы это вычисляли.
Для простоты возьмём, что одна коробка тяжелей другой ровно в 2 раза.

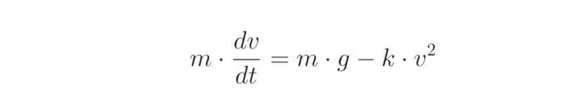
На коробок действуют две силы:
1. Сила тяжести F = m * g (направлена вниз),
2. Сила сопротивления воздуха
F = -k *vво второй степени(направлена вверх, против скорости).

Здесь:
- m — масса коробка,
- v — скорость падения,
- k — коэффициент сопротивления (зависит от формы и площади коробка).

Дифференциальное уравнение движения:




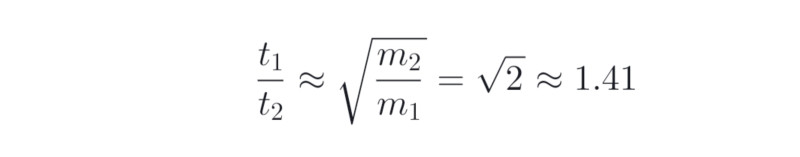
Установившаяся скорость (терминальная скорость -когда ускорение становится нулевым
Чем больше масса m, тем выше v{терм}, значит, тяжёлый коробок падает быстрее.

Приблизительное время падения (если h достаточно велико)
Если высота h достаточно большая, чтобы коробки достигли v{терм}, то время падения можно оценить как:




Для двух коробков с массами
m1 и m2= 2m1



То есть лёгкий коробок m1 будет падать примерно в 1.41 раза дольше, чем тяжёлый m2.

Но на практике все иначе, здесь не учтены аэродинамические свойства коробок, движение потоков воздуха.
Сообщение отредактировала Анна, Россия, Псков (автор поста) 02.07.2025 20:09
Страницы:
1
...
10
11
12
13
14
15
16
17

Вы не можете ответить, т.к. в данный момент не зарегистрированы или не авторизованы

Регистрация | Напомнить пароль | Или введите e-mail (номер телефона) и пароль в форме "Вход на сайт"

Или Вы можете войти на сайт (создать анкету), используя Войти через Mail.Ru Mail.ru, Войти через Одноклассники OK.ru или Войти через ВКонтакте VK.ru Войти через Yandex Yandex

Вход на сайт
Логин, email или телефон
Пароль
наверх
Закр